Una caldaia produce vapore alla pressione di 40bar e alla temperatura di 300°C. L’acqua sottoraffreddata parte alla temperatura di 60°C.
Calcolare qual è la quantità di calore necessaria a far vaporizzare 1kg di acqua.
Diagramma dell’acqua satura con le tre trasformazioni necessarie a vaporizzare l’acqua sottoraffreddata.

Soluzione
La vaporizzazione dell’acqua è un processo che avviene a pressione costante ed è suddiviso da tre trasformazioni dell’acqua:
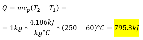
1° Trasformazione da (1) a (2): riscaldamento dell’acqua sottoraffreddata fino alla temperatura del liquido saturo di 250°C. Riscaldamento che avviene a pressione costante fino alla condizione di liquido saturo (punto 2). Di fatto si riscalda acqua liquida a 40bar da 60°C a 250°C quindi si può considerare l’acqua in questa trasformazione come un fluido incomprimibile a calcolare il calore di riscaldamento con il primo principio della termodinamica, ovvero:

2° Trasformazione da (2) a (3): Completa evaporazione del liquido saturo, ovvero tutto il liquido saturo viene trasformato in vapore saturo a pressione costante quindi liquido è da considerarsi una sostanza pura e in quanto tale bisogna utilizzare i valori di entalpia h della tabella dell’acqua satura:

3° Trasformazione da (3) a (4): è l trasformazione di surriscaldamento del vapore saturo sempre a pressione costante. Il vapore saturo e il vapore surriscaldato sono da considerarsi anche essi come sostanze pure quindi per calcolare il calore di surriscaldamento bisogna utilizzare le tabelle del vapore surriscaldato:

La quantità finale di calore necessario per trasformare acqua liquida in vapore surriscaldato a 40bar e 300°C è:


