

Breve articolo per capire come viene generata la spinta in un aereo con due ugelli propulsivi

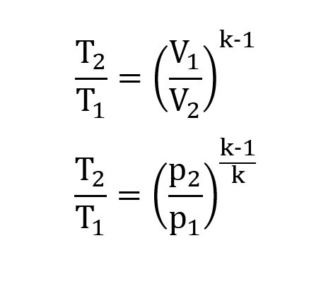
Significato della funzione politropica e delle sue applicazioni in ambito ingegneristico

Calcoli per ottenere l’area della sezione di uscita di un ugello convergente – divergente.

Sviluppi di calcolo per ottenere la portata massica d’aria elaborata da una turbina a gas adibatica.

Sviluppo di calcoli per far trasformare 1kg di acqua alla temperatura ambiente, in vapore surriscaldato.

Una pentola contiene una miscela satura liquido-vapore. Calcolare la quantitĂ di calore per portare la miscela satura a 5bar.