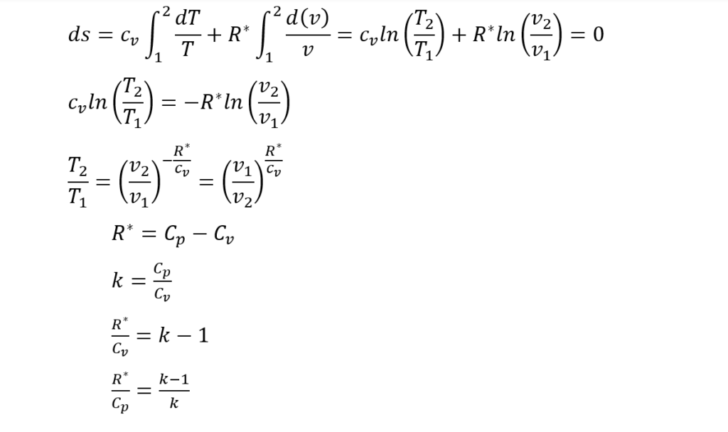
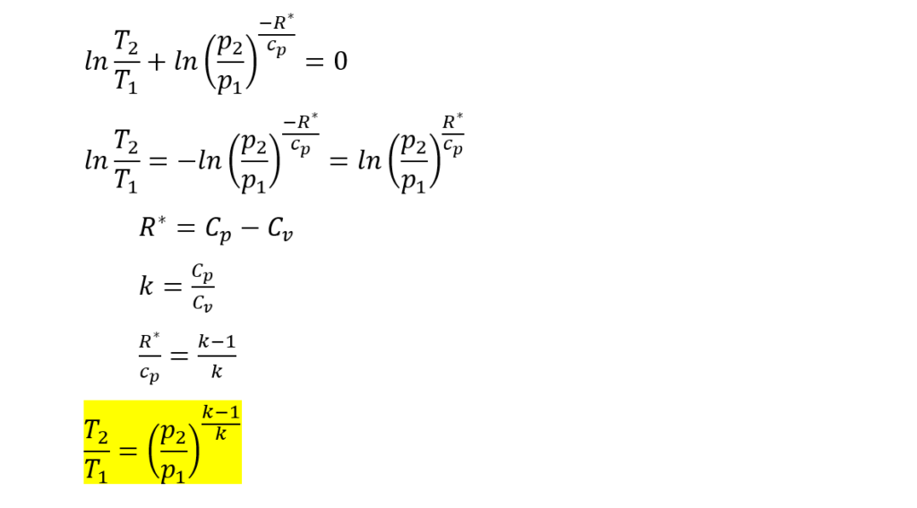
Le Equazioni Isoentropiche


Commenti

Una risposta a “Le Equazioni Isoentropiche”

Lascia un commento

Il tuo indirizzo email non sarà pubblicato. I campi obbligatori sono contrassegnati *